Lei nº 3.163, de 25 de junho de 2018
Art. 1º.
Ficam estabelecidas, em cumprimento ao disposto no artigo 165, parágrafo 2º da Constituição Federal; no artigo 158 da Lei Orgânica do Município e no artigo 4º da Lei Complementar Federal n.º 101, de 4 de maio de 2000, as diretrizes para a elaboração e execução da Lei Orçamentária Anual do exercício de 2019, compreendendo:
I –
prioridades e metas da Administração Pública Municipal;
II –
orientações básicas para elaboração da Lei Orçamentária Anual – LOA;
III –
disposições sobre a política de pessoal e serviços extraordinários;
IV –
disposições sobre a receita e alterações na legislação tributária do Município;
V –
equilíbrio entre receitas e despesas;
VI –
critérios e formas de limitação de empenho;
VII –
normas relativas ao controle de custos e a avaliação dos resultados dos programas financiados com recursos dos orçamentos;
VIII –
condições e exigências para transferências de recursos a entidades públicas e privadas;
IX –
autorização para o Município auxiliar custeio de despesas atribuídas a outros entes da federação;
X –
parâmetros para a elaboração da programação financeira e do cronograma mensal de desembolso;
XI –
definição de critérios para início de novos projetos;
XII –
aproveitamento da margem de expansão das despesas obrigatórias de caráter continuado;
XIII –
definição das despesas consideradas irrelevantes;
XIV –
incentivo à participação popular; e
XV –
disposições gerais.
Art. 2º.
Em cumprimento ao disposto no artigo 165, parágrafo 2º da Constituição Federal as prioridades e metas da Administração Pública Municipal para o exercício de 2019 encontram-se relacionadas no Anexo de Prioridades e Metas da Administração Pública Municipal, constante desta Lei.
§ 1º
Os orçamentos serão elaborados em consonância com as metas e prioridades estabelecidas na forma do caput deste artigo.
§ 2º
O projeto de lei orçamentária para 2019 conterá demonstrativo da observância das prioridades e metas estabelecidas na forma do caput deste artigo.
§ 3º
As prioridades e metas da Administração Pública Municipal para o exercício financeiro de 2019 terão precedência na alocação de recursos na Lei Orçamentária Anual de 2019 e na sua execução, não se constituindo, todavia, em limite à programação das despesas.
Art. 3º.
As categorias de programação de que trata esta Lei serão identificadas por órgão, unidade, subunidades orçamentárias, funções, subfunções, programas, atividades, projetos, operações especiais, categoria econômica, grupo de natureza de despesa e modalidade de aplicação, de acordo com as codificações da Portaria n.º 42, de 14 de abril de 1999, do Ministério do Planejamento, Orçamento e Gestão e da Portaria Interministerial n.º 163, de 4 de maio de 2001, da Secretaria do Tesouro Nacional – STN – do Ministério da Fazenda e Secretaria de Orçamento Federal – SOF – do Ministério do Planejamento, Orçamento e Gestão.
Art. 4º.
Os orçamentos fiscal, da seguridade social e de investimentos discriminarão a despesa, no mínimo, por elemento de despesa, conforme o disposto no artigo 15 da Lei Federal n.º 4.320, de 17 de março de 1964.
Art. 5º.
Os orçamentos fiscal, da seguridade social e de investimentos compreenderão a programação dos Poderes do Município, seus fundos, órgãos, autarquias, fundações, empresas públicas dependentes e demais entidades em que o Município, direta ou indiretamente, detenha a maioria do capital social com direito a voto e que recebam recursos do Tesouro Municipal.
Art. 6º.
O projeto de lei orçamentária que o Poder Executivo encaminhará à Câmara Municipal será constituído de:
I –
texto da lei;
II –
documentos referenciados nos artigos 2º e 22 da Lei Federal n.º 4.320, de 1964;
III –
quadros orçamentários consolidados;
IV –
anexos do orçamento fiscal e seguridade social, discriminando a receita e a despesa na forma definida nesta Lei;
V –
demonstrativos e documentos previstos no artigo 5º da Lei Complementar Federal n.º 101, de 2000; e
VI –
anexo do orçamento de investimento a que se refere o artigo 165, parágrafo 5º, inciso II da Constituição Federal, na forma definida nesta Lei.
Parágrafo único
Acompanharão a proposta orçamentária, além dos demonstrativos exigidos pela legislação em vigor, definidos no caput deste artigo, os seguintes demonstrativos:
I –
demonstrativo da receita corrente líquida de acordo com o artigo 2º, inciso IV da Lei Complementar Federal n.º 101, de 2000;
II –
demonstrativo dos recursos a serem aplicados na manutenção e desenvolvimento do ensino e na educação básica, para fins do atendimento do disposto no artigo 212 da Constituição Federal e no artigo 60 do Ato das Disposições Constitucionais Transitórias;
III –
demonstrativo dos recursos a serem aplicados no Fundo de Manutenção e Desenvolvimento da Educação Básica e de Valorização dos Profissionais da Educação – Fundeb;
IV –
demonstrativo dos recursos a serem aplicados nas ações e serviços públicos de saúde para fins de atendimento do disposto na Emenda Constitucional n.º 29, de 13 de setembro de 2000;
V –
demonstrativo da despesa com pessoal, para fins do atendimento do disposto no artigo 169 da Constituição Federal e na Lei Complementar Federal n.º 101, de 2000; e
VI –
demonstrativo das receitas e despesas por fonte de recursos.
Art. 7º.
A estimativa da receita e a fixação da despesa, constantes do projeto de lei orçamentária, serão elaboradas em valores correntes do exercício de 2018, projetadas ao exercício a que se refere.
Parágrafo único
O projeto de lei orçamentária atualizará a estimativa das receitas, considerando os acréscimos de receita resultantes do crescimento da economia e da evolução de outras variáveis que implicam aumento da base de cálculo, bem como de alterações na legislação tributária, devendo ser garantidas, no mínimo, as metas de resultado primário e nominal estabelecidas nesta Lei.
Art. 8º.
O Poder Executivo colocará à disposição do Poder Legislativo e do Ministério Público, no mínimo 30 (trinta) dias antes do prazo final para encaminhamento de sua proposta orçamentária, os estudos e as estimativas das receitas para o exercício subsequente, inclusive da corrente líquida, e as respectivas memórias de cálculo.
Parágrafo único
Os órgãos da Administração Indireta do Poder Executivo e o Poder Legislativo, se for o caso, encaminharão à Secretaria Adjunta da Secretaria Municipal da Fazenda e Planejamento da Prefeitura de Unaí, até 15 (quinze) dias antes do prazo definido no caput deste artigo, os estudos e estimativas das suas receitas orçamentárias para o exercício subsequente e as respectivas memórias de cálculo, para fins de consolidação da receita municipal.
Art. 9º.
O Poder Legislativo e os órgãos da Administração Indireta do Poder Executivo encaminharão à Secretaria Adjunta, até 15 de julho de 2018, suas respectivas propostas orçamentárias, para fins de consolidação do projeto de lei orçamentária.
Art. 10.
Na programação da despesa, não poderão ser fixadas despesas sem que estejam definidas as respectivas fontes de recursos, de forma a evitar o comprometimento do equilíbrio orçamentário entre a receita e a despesa.
Art. 11.
A LOA discriminará, no órgão responsável pelo débito, as dotações destinadas ao pagamento de precatórios judiciais, em cumprimento ao artigo 100 da Constituição Federal.
§ 1º
Para fins de acompanhamento, controle e centralização, os órgãos da Administração Pública Municipal Direta e Indireta do Poder Executivo submeterão os processos referentes ao pagamento de precatórios à apreciação da Procuradoria Geral do Município.
§ 2º
Os recursos alocados para os fins previstos no caput deste artigo não poderão ser cancelados para abertura de créditos adicionais com outra finalidade.
Art. 12.
O orçamento de investimento, previsto no artigo 165, parágrafo 5º, inciso II da Constituição Federal, será apresentado para cada empresa em que o Município, direta ou indiretamente, detenha a maioria do capital social com direito a voto.
Parágrafo único
O detalhamento das fontes de financiamento do investimento de cada entidade referida neste artigo será feito de forma a evidenciar os recursos:
I –
gerados pela empresa;
II –
oriundos de transferências do Município;
III –
oriundos de operações de crédito internas e externas; e
IV –
de outras origens, que não as compreendidas nos incisos I, II e III deste artigo.
Art. 13.
A administração da dívida pública municipal interna e/ou externa tem por objetivo principal minimizar custos, reduzir o montante da dívida pública e viabilizar fontes alternativas de recursos para o Tesouro Municipal.
§ 1º
Deverão ser garantidos, na LOA, os recursos necessários ao pagamento da dívida.
§ 2º
O Município, por meio de seus órgãos, subordinar-se-á às normas estabelecidas na Resolução n.º 40, de 20 de dezembro de 2001, do Senado Federal, que dispõe sobre os limites globais para o montante da dívida pública consolidada e da dívida pública mobiliária, em atendimento ao disposto no artigo 52, incisos VI e IX, da Constituição Federal.
Art. 14.
Na LOA para o exercício de 2019, as despesas com amortização, juros e demais encargos da dívida serão fixadas com base nas operações contratadas.
Art. 15.
A LOA poderá conter autorização para contratação de operações de crédito pelo Poder Executivo, a qual ficará condicionada ao atendimento das normas estabelecidas na Lei Complementar Federal n.º 101, de 2000, e na Resolução n.º 43, de 21 de dezembro de 2001, do Senado Federal.
Art. 16.
A LOA poderá conter autorização para a realização de operações de crédito por antecipação de receita orçamentária, desde que observado o disposto no artigo 38 da Lei Complementar n.º 101, de 2000, e atendidas às exigências estabelecidas na Resolução n.º 43, de 2001, do Senado Federal.
Art. 17.
A LOA poderá conter reserva de contingência constituída por recursos do orçamento fiscal e da seguridade social e será equivalente a até 4,3% (quatro inteiros e três décimos por cento) da receita corrente líquida prevista na proposta orçamentária de 2019, destinada ao atendimento de passivos contingentes, outros riscos fiscais imprevistos, reservas técnicas do Regime Próprio de Previdência Social e demais créditos adicionais.
§ 1º
A reserva de contingência formada por recursos do Regime Próprio de Previdência Social será de até 2,5% (dois inteiros e cinco décimos por cento) da receita corrente líquida prevista na proposta orçamentária de 2019.
§ 2º
O detalhamento da forma de utilização enunciada no caput deste artigo encontra-se no Anexo de Riscos Ficais desta lei.
Art. 18.
Para fins de atendimento ao disposto no artigo 169, parágrafo 1º, inciso II da Constituição Federal, observado o inciso I do mesmo parágrafo, ficam autorizadas as concessões de quaisquer vantagens, aumentos de remuneração, criação de cargos, empregos ou funções, alterações de estrutura de carreiras, bem como admissões ou contratações de pessoal a qualquer título, desde que observado o disposto nos artigos 15, 16 e 17 da Lei Complementar Federal n.º 101, de 2000.
§ 1º
Além de observar as normas previstas no caput deste artigo, no exercício financeiro de 2019, as despesas com pessoal dos Poderes Executivo e Legislativo deverão atender às disposições contidas nos artigos 18, 19 e 20 da Lei Complementar Federal n.º 101, de 2000.
§ 2º
Todos os atos a serem praticados pela Administração Indireta do Poder Executivo que tenham relação com a política de pessoal e encargos sociais e implicação com os artigos 15, 16, 17, 18 e 19 da Lei Complementar Federal n.º 101, de 2000, deverão ser previamente submetidos à análise do órgão central de planejamento do Município para a emissão de parecer.
§ 3º
Se a despesa total com pessoal ultrapassar os limites estabelecidos no artigo 19 da Lei Complementar Federal n.º 101, de 2000, serão adotadas as medidas de que tratam os parágrafos 3º e 4º do artigo 169 da Constituição Federal.
Art. 19.
Se durante o exercício de 2019 a despesa de pessoal atingir o limite de que trata o parágrafo único do artigo 22 da Lei Complementar Federal n.º 101, de 2000, a realização de serviço extraordinário somente poderá ocorrer quando destinada ao atendimento de relevantes interesses públicos que ensejem situações emergenciais de risco ou de prejuízo para a sociedade.
Parágrafo único
A autorização para a realização de serviço extraordinário para atender as situações previstas no caput deste artigo, no âmbito do Poder Executivo, é de exclusiva competência do Prefeito e, no âmbito do Poder Legislativo, é de exclusiva competência do Presidente da Câmara Municipal.
Art. 20.
A estimativa da receita que constará do projeto de lei orçamentária para o exercício de 2019, com vistas à expansão da base tributária e consequente aumento das receitas próprias, contemplará medidas de aperfeiçoamento da administração dos tributos municipais, dentre as quais:
I –
aperfeiçoamento do sistema de formação, tramitação e julgamento dos processos tributário-administrativos, visando à racionalização, simplificação e agilização;
II –
aperfeiçoamento dos sistemas de fiscalização, cobrança e arrecadação de tributos, objetivando a sua maior exatidão;
III –
aperfeiçoamento dos procedimentos tributário-administrativos, por meio da revisão e racionalização das rotinas e procedimentos, objetivando a modernização, a padronização de atividades, a melhoria dos controles internos e a eficiência na prestação de serviços; e
IV –
aplicação das penalidades fiscais como instrumento inibitório da prática de infração à legislação tributária.
Art. 21.
A estimativa da receita de que trata o artigo 20 desta Lei levará em consideração, adicionalmente, o impacto de alteração na legislação tributária, observada a capacidade econômica do contribuinte, com destaque para:
I –
atualização da planta genérica de valores do Município;
II –
revisão, atualização ou adequação da legislação sobre Imposto Sobre a Propriedade Predial e Territorial Urbana – IPTU –, suas alíquotas, forma de cálculo, condições de pagamentos, descontos e isenções, inclusive com relação à progressividade deste imposto;
III –
revisão da legislação sobre o uso do solo, com redefinição dos limites da zona urbana municipal;
IV –
revisão da legislação referente ao Imposto Sobre Serviços de Qualquer Natureza – ISSQN;
V –
revisão da legislação aplicável ao Imposto Sobre Transmissão Inter-Vivos de Bens Imóveis e de Direitos a Eles Relativos – ITBI;
VI –
instituição de taxas pela utilização efetiva ou potencial de serviços públicos específicos e divisíveis, prestados ao contribuinte ou postos à sua disposição;
VII –
revisão da legislação sobre as taxas pelo exercício do poder de polícia;
VIII –
revisão das isenções sobre tributos municipais para manter o interesse público e a justiça fiscal;
IX –
instituição, por lei específica, da contribuição de melhoria com a finalidade de tornar exequível a sua cobrança; e
X –
instituição de novos tributos ou a modificação, em decorrência de alterações legais, daqueles já instituídos.
Art. 22.
O projeto de lei que conceda ou amplie incentivo ou benefício de natureza tributária somente será aprovado se atendidas às exigências do artigo 14 da Lei Complementar Federal n.º 101, de 2000.
Parágrafo único
O projeto de lei a que se refere o caput deste artigo que tenha origem ou efeitos sobre a Administração Indireta do Poder Executivo deverão ser previamente submetidos à análise do órgão central de planejamento do Município para a emissão de parecer.
Art. 23.
Na estimativa das receitas do projeto de lei orçamentária poderão ser considerados os efeitos de propostas de alterações na legislação tributária que estejam em tramitação na Câmara Municipal.
Art. 24.
A elaboração do projeto, a aprovação e a execução da LOA serão orientadas no sentido de alcançar o resultado primário necessário para garantir uma trajetória de solidez financeira da Administração Municipal, conforme discriminado no Anexo de Metas Fiscais, constante nesta Lei.
Art. 25.
Os projetos de lei que impliquem em diminuição de receita ou aumento de despesa do Município no exercício 2019 deverão estar acompanhados dos documentos previstos nos artigos 14 e 16 da Lei Complementar Federal n.º 101, de 2000.
Art. 26.
As estratégias para busca e manutenção do equilíbrio entre as receitas e despesas poderão levar em conta as seguintes medidas:
Art. 27.
Na hipótese de ocorrência das circunstâncias estabelecidas no caput do artigo 9º e no inciso II do parágrafo 1º do artigo 31, todos da Lei Complementar Federal n.º 101, de 2000, os Poderes Executivo e Legislativo procederão à respectiva limitação de empenho e movimentação financeira, calculada de forma proporcional à participação dos Poderes no total das dotações iniciais constantes da LOA de 2019, utilizando para tal fim as cotas orçamentárias e financeiras.
§ 1º
Excluem-se do disposto no caput deste artigo as despesas que constituam obrigação constitucional e legal e as despesas destinadas ao pagamento dos serviços da dívida.
§ 2º
O Poder Executivo comunicará ao Poder Legislativo o montante que lhe caberá tornar indisponível para empenho e movimentação financeira, conforme proporção estabelecida no caput deste artigo.
CAPÍTULO VIII
DAS NORMAS RELATIVAS AO CONTROLE DE CUSTOS E AVALIAÇÃO DOS
RESULTADOS DOS PROGRAMAS FINANCIADOS COM RECURSOS DOS ORÇAMENTOS
RESULTADOS DOS PROGRAMAS FINANCIADOS COM RECURSOS DOS ORÇAMENTOS
Art. 28.
O Poder Executivo realizará estudos visando a definição de sistema de controle de custos e avaliação do resultado dos programas de governo.
Art. 29.
Além de observar as demais diretrizes estabelecidas nesta Lei, à alocação dos recursos na LOA e em seus créditos adicionais, bem como a respectiva execução, serão feitas de forma a propiciar o controle de custos e a avaliação dos resultados dos programas de governo.
§ 1º
A LOA de 2019 e seus créditos adicionais deverão agregar todas as ações governamentais necessárias ao cumprimento dos objetivos dos respectivos programas, sendo que as ações governamentais que não contribuírem para a realização de um programa específico deverão ser agregadas nos programas de apoio às políticas públicas.
§ 2º
Merecerá destaque o aprimoramento da gestão orçamentária, financeira e patrimonial, por intermédio da modernização de planejamento, execução, avaliação e controle interno.
§ 3º
O Poder Executivo promoverá amplo esforço de redução de custos, otimização de gastos e reordenamento de despesas do setor público municipal, sobretudo pelo aumento da produtividade na prestação de serviços públicos e sociais.
CAPÍTULO IX
DAS CONDIÇÕES E EXIGÊNCIAS PARA TRANSFERÊNCIAS DE RECURSOS A
ENTIDADES PÚBLICAS E PRIVADAS
Art. 30.
Fica permitida a inclusão na LOA e em seus créditos adicionais de dotações a título de auxílios, subvenções sociais e contribuições para Organizações da Sociedade Civil – OSC –, desde que autorizada por lei específica que discrimine a tipificação dos serviços e os valores a serem destinados.
§ 1º
Para habilitar-se ao recebimento de auxílios, subvenções sociais e contribuições a entidade deverá atender às exigências previstas na Lei Municipal n.º 3.083, de 8 de maio de 2017, na Lei Federal n.º 13.019, de 31 de julho de 2014, e demais alterações.
§ 2º
Para os efeitos do art. 16 da Lei de Responsabilidade Fiscal (LRF), os valores constantes no projeto de lei específica a que se refere o caput deste artigo, bem como o projeto de lei orçamentária anual de 2019, poderão ser utilizados para demonstrar a previsão orçamentária nos procedimentos referentes à fase interna de análise das propostas de transferências de recursos ao setor privado.
Art. 31.
As entidades beneficiadas com recursos provenientes de emendas orçamentárias de execução impositiva deverão apresentar ao Poder Executivo os documentos necessários à celebração de parceria em até 30 dias após a publicação da Lei Orçamentária Anual (LOA).
§ 1º
Decorrido o prazo previsto no caput deste artigo, e diante da não manifestação de interesse pela entidade beneficiada, o Poder Executivo apontará impedimento técnico para a execução da emenda.
§ 2º
O Poder Executivo poderá disciplinar, por ato administrativo próprio, os prazos e procedimentos a serem observados no processo de análise da documentação apresentada pelas entidades beneficiadas por emendas orçamentárias de execução impositiva.
Art. 32.
Fica permitida a inclusão na LOA e em seus créditos adicionais, por intermédio de autorização em lei específica, de dotações a título de contribuições para entidades representativas ou consórcios intermunicipais, desde que estes últimos sejam constituídos exclusivamente por entes públicos, legalmente instituídos e signatários de contrato de gestão com a Administração Pública Municipal que participem da execução de programas municipais.
Art. 33.
Fica vedada a inclusão, na LOA e em seus créditos adicionais, de dotações a título de contribuições para entidades privadas de fins lucrativos, ressalvadas as instituídas por lei específica, no âmbito do Município, que sejam destinadas aos programas de desenvolvimento industrial.
Art. 34.
Fica vedada a inclusão, na LOA e em seus créditos adicionais, de dotação para a realização de transferência financeira a outro ente da federação, exceto para atender as situações que envolvam claramente o atendimento de interesses locais, observadas as exigências do artigo 25 da Lei Complementar Federal n.º 101, de 2000.
Art. 35.
As entidades beneficiadas com os recursos públicos previstos neste capítulo, a qualquer título, submeter-se-ão à fiscalização do Poder Executivo com a finalidade de verificar o cumprimento dos objetivos para os quais receberam os recursos.
Art. 36.
As transferências de recursos às entidades prevista no artigo 30 desta Lei deverão ser precedidas da aprovação do plano de trabalho, termo de fomento, termo de colaboração e acordo de cooperação, devendo ser observadas, na elaboração de tais instrumentos, as exigências da Lei Municipal n.º 3.083, de 8 de maio de 2017, e na Lei Federal n.º 13.019, de 31 de julho de 2014, e demais alterações.
§ 1º
Compete ao órgão concedente o acompanhamento da realização do plano de trabalho executado com recursos transferidos pelo Município.
§ 2º
Fica vedada a celebração de termo de fomento, termo de colaboração e acordo de cooperação com entidade em situação irregular com o Município, em decorrência de transferência feita anteriormente.
§ 3º
Excetuam-se do cumprimento dos dispositivos legais a que se refere o caput deste artigo os caixas escolares da rede pública municipal de ensino que receberem recursos diretamente do Governo Federal por meio do Programa Dinheiro Direto na Escola – PDDE.
Art. 37.
Fica vedada a destinação, na LOA e em seus créditos adicionais, de recursos para cobrir diretamente necessidades de pessoas físicas, ressalvadas as que atendam as exigências do artigo 26 da Lei Complementar Federal n.º 101, de 2000.
Parágrafo único
As normas previstas no caput deste artigo não se aplicam à ajuda a pessoas físicas, custeadas pelos recursos do Sistema Único de Saúde – SUS –, e aos benefícios eventuais, destinados a suprir necessidades básicas, eventuais e emergenciais de famílias de baixa renda e vulnerabilidade social, regulamentadas pela Lei n.º 1.586, de 20 de dezembro de 1995, e disciplinadas pelas resoluções do Conselho Municipal de Assistência Social – CMAS.
Art. 38.
A transferência de recursos financeiros de um órgão para outro, inclusive da Prefeitura Municipal para os órgãos de sua Administração Indireta e para a Câmara Municipal, fica limitada ao valor previsto na LOA e em seus créditos adicionais.
§ 1º
O aumento da transferência de recursos financeiros de um órgão para outro somente poderá ocorrer mediante prévia autorização legislativa, conforme determina o artigo 167, inciso VI da Constituição Federal.
§ 2º
Em caso de ocorrência de excesso ou insuficiência de arrecadação, no exercício de 2018, com relação às receitas que compõem a base de cálculo para o cômputo do limite de despesa da Câmara Municipal de Unaí, o Chefe do Poder Executivo procederá, até o primeiro dia útil do mês de abril de 2019, à suplementação ou anulação, da forma proposta pelo Poder Legislativo, no valor de até 7% (sete por cento) do aludido excesso ou insuficiência, das dotações pertencentes à Câmara Municipal de Unaí, fixadas no orçamento do exercício de 2019, por meio da abertura de crédito adicional suplementar, em conformidade com o disposto no artigo 29-A da Constituição Federal de 1988, combinado com o artigo 42 da Lei Federal n.° 4.320, de 1964.
CAPÍTULO X
DA AUTORIZAÇÃO PARA O MUNICÍPIO AUXILIAR NO CUSTEIO DE DESPESAS DE
COMPETÊNCIA DE OUTROS ENTES DA FEDERAÇÃO
COMPETÊNCIA DE OUTROS ENTES DA FEDERAÇÃO
Art. 39.
Fica vedada a inclusão, na LOA e em seus créditos adicionais, de dotações para que o Município contribua para o custeio de despesas de competência de outros entes da federação, ressalvadas as autorizadas mediante lei específica e que sejam destinadas ao atendimento das situações que envolvam claramente o interesse local.
Parágrafo único
A realização da despesa definida no caput deste artigo deverá ser precedida de exame de compatibilidade com o Plano Plurianual (PPA), da aprovação do plano de trabalho e da celebração de convênio.
CAPÍTULO XI
DOS PARÂMETROS PARA A ELABORAÇÃO DA PROGRAMAÇÃO FINANCEIRA E DO
CRONOGRAMA MENSAL DE DESEMBOLSO
Art. 40.
O Poder Executivo estabelecerá, por ato próprio, até 30 (trinta) dias após a publicação dos orçamentos de 2019, as metas bimestrais de arrecadação, a programação financeira e o cronograma mensal de desembolso, respectivamente, nos termos dos artigos 8º e 13 da Lei Complementar Federal n.º 101, de 2000.
§ 1º
Para atender ao disposto no caput deste artigo, os órgãos da Administração Indireta do Poder Executivo e do Poder Legislativo encaminharão ao órgão central de planejamento do Município, até 15 (quinze) dias após a publicação dos orçamentos de 2019, os seguintes demonstrativos:
I –
as metas bimestrais de arrecadação de receitas, de forma a atender ao disposto no artigo 13 da Lei Complementar Federal n.º 101, de 2000;
II –
a programação financeira das despesas, nos termos do artigo 8º da Lei Complementar Federal n.º 101, de 2000; e
III –
o cronograma mensal de desembolso, incluídos os pagamentos dos restos a pagar, nos termos do artigo 8º da Lei Complementar Federal n.º 101, de 2000.
§ 2º
O Poder Executivo deverá dar publicidade às metas bimestrais de arrecadação, à programação financeira e ao cronograma mensal de desembolso, no órgão oficial de publicação do Município, se houver, até 30 (trinta) dias após a publicação dos orçamentos de 2019.
§ 3º
A programação financeira e o cronograma mensal de desembolso de que trata o caput deste artigo deverão ser elaborados pelos setores financeiros de cada órgão evidenciando as fontes de recurso e de forma a garantir o cumprimento das metas de resultado primário e nominal estabelecidas nesta Lei.
Art. 41.
Além da observância das prioridades e metas definidas nos termos do artigo 2º desta Lei, a LOA de 2019 e seus créditos adicionais, observado o disposto no artigo 45 da Lei Complementar Federal n.º 101, de 2000, somente incluirão projetos novos se:
I –
estiverem compatíveis com o Plano Plurianual e com as normas desta Lei;
II –
tiverem sido adequadamente contemplados todos os projetos em andamento;
III –
estiverem preservados os recursos necessários à conservação do patrimônio público; e
IV –
os recursos alocados destinarem-se a contrapartidas de recursos federais, estaduais ou de operações de crédito.
Parágrafo único
Considera-se projeto em andamento, para os efeitos desta Lei, aquele cuja execução iniciar-se até a data de encaminhamento da proposta orçamentária de 2019, cujo cronograma de execução ultrapasse o término do exercício de 2018.
CAPÍTULO XIII
DO APROVEITAMENTO DA MARGEM DE EXPANSÃO DAS DESPESAS OBRIGATÓRIAS
DE CARÁTER CONTINUADO
Art. 42.
A compensação a que alude o parágrafo 2º do artigo 17 da Lei Complementar Federal n.º 101, de 2000, quando da criação ou aumento de despesas obrigatórias de caráter continuado, no âmbito dos Poderes Executivo e Legislativo, poderá ser realizada a partir do aproveitamento da respectiva margem de expansão, devidamente demonstrada no Anexo de Metas Fiscais desta Lei.
§ 1º
A fonte de recursos da margem de expansão de que trata o caput deste artigo será formada, exclusivamente, por redução permanente de despesa ou por aumento permanente de receita, proveniente da elevação de alíquotas, ampliação da base de cálculo, majoração ou criação de tributo ou contribuição.
§ 2º
Cada Poder manterá controle rigoroso sobre os valores já aproveitados da margem de expansão a que alude o caput deste artigo.
Art. 43.
Para os fins do disposto no parágrafo 3º do artigo 16 da Lei Complementar Federal n.º 101, de 2000, são consideradas despesas irrelevantes aquelas cujo valor anual sem fracionamento por grupo de natureza de despesa de cada Poder não ultrapasse os limites previstos nos incisos I e II do artigo 24 da Lei Federal n.º 8.666, de 1993, nos casos de obras e serviços de engenharia e de outros serviços e compras, respectivamente.
§ 1º
Os valores correspondentes aos limites previstos nos incisos I e II do artigo 24 da Lei Federal n.º 8.666, de 21 de junho de 1993, deverão ser atualizados com base no índice oficial adotado pelo Município para os efeitos da definição de despesa irrelevante prevista no caput deste artigo.
§ 2º
Não se aplicam aos atos, incluídos os projetos de lei, cujas despesas sejam consideradas irrelevantes, nos termos do disposto no caput deste artigo, as exigências contidas nos artigos 16 e 17 da Lei Complementar Federal n.º 101, de 2000.
Art. 44.
O projeto de lei orçamentária do Município, relativo ao exercício financeiro de 2019, deverá assegurar a transparência na elaboração e execução do orçamento.
Parágrafo único
O princípio da transparência implica, além da observância do princípio constitucional da publicidade, a utilização dos meios disponíveis para garantir o efetivo acesso dos munícipes às informações relativas ao orçamento.
Art. 45.
Será assegurada ao cidadão a participação nas audiências públicas para:
I –
elaboração da proposta orçamentária de 2019, no tocante aos investimentos, mediante regular processo de consulta; e
II –
avaliação das metas fiscais, conforme definido no artigo 9º, parágrafo 4º da Lei Complementar Federal n.º 101, de 2000, ocasião em que o Poder Executivo demonstrará o comportamento das metas previstas nesta Lei.
Art. 46.
As categorias de programação, aprovadas na LOA e em seus créditos adicionais, poderão ser modificadas, justificadamente, para atender às necessidades de execução, desde que demonstrada através de parecer ou relatório científicos, a inviabilidade técnica, operacional ou econômica da execução do crédito, por meio de decreto do Poder Executivo.
Parágrafo único
As modificações a que se refere o caput deste artigo também poderão ocorrer quando da abertura de créditos suplementares autorizados na LOA, os quais deverão ser abertos, mediante decreto do Poder Executivo.
Art. 47.
A abertura de créditos suplementares e especiais dependerá de prévia autorização legislativa e da existência de recursos disponíveis para cobrir a despesa, nos termos da Lei Federal n.º 4.320, de 1964, e da Constituição Federal.
§ 1º
A LOA conterá autorização e disporá sobre o limite para a abertura de créditos adicionais suplementares.
§ 2º
Em função do princípio da continuidade, o limite para a abertura de créditos adicionais suplementares não poderá ser inferior ou superior em mais de 5% (cinco por cento) da média do percentual observado nos 3 (três) exercícios anteriores àquele em que se elabora a proposta orçamentária.
§ 3º
Acompanharão os projetos de lei relativos a créditos adicionais especiais exposições de motivos circunstanciadas que os justifiquem e que indiquem as consequências dos cancelamentos de dotações propostos, quando for o caso.
Art. 48.
A abertura de créditos especiais e extraordinários, conforme disposto no artigo 167, parágrafo 2º da Constituição Federal, será efetivada mediante decreto do Prefeito Municipal, respeitado o disposto no artigo 46 desta Lei, utilizando os recursos previstos no artigo 43 da Lei Federal n.º 4.320, de 1964.
Art. 49.
A programação orçamentária por fonte de recurso tem como objetivo preservar o equilíbrio das contas públicas municipais, podendo ser modificada para compatibilizar as estimativas da LOA às necessidades de execução.
§ 1º
Os procedimentos de alteração de fonte de recurso de natureza vinculada deverão observar os fundamentos da legislação de regência e a garantia de equilíbrio financeiro.
§ 2º
Ficam vedadas as reprogramações por fonte de recurso que transformem recursos vinculados sem cobertura financeira em recursos ordinários.
§ 3º
Os procedimentos de alteração de fonte recurso deverão demonstrar, por meio de parecer científico ou registro parametrizado em sistema de informática, as modificações quantitativamente equivalentes entre as fontes nas programações de receita e de despesa.
§ 4º
Todos os atos relacionados à alteração de fonte de recurso serão efetivados por decreto do Prefeito Municipal, os quais serão enviados ao Tribunal de Contas do Estado de Minas Gerais através do Sistema Informatizado de Contas dos Municípios (SICOM).
Art. 50.
Para os efeitos do art. 16 da Lei de Responsabilidade Fiscal (LRF), os valores constantes no projeto de lei orçamentária anual de 2019 poderão ser utilizados para demonstrar a previsão orçamentária nos procedimentos referentes à fase interna da licitação.
Art. 51.
Todos os atos a serem praticados pela Administração Indireta do Poder Executivo que tenham implicação com os artigos 15, 16 e 17 da Lei Complementar Federal n.º 101, de 2000, deverão ser previamente submetidos à análise do órgão central de planejamento do Município para a emissão de parecer.
Art. 52.
Os recursos decorrentes de emendas que ficarem sem despesas correspondentes ou alterarem os valores da receita orçamentária poderão ser utilizados mediante crédito suplementar e especial, com prévia e específica autorização legislativa, nos termos do parágrafo 8º do artigo 166 da Constituição da República.
Art. 53.
Ao projeto de lei orçamentária anual de 2019 não poderão ser apresentadas emendas com recursos insuficientes para a conclusão de uma etapa da obra ou para o cumprimento de parcela do contrato de entrega de bem ou serviço.
Art. 54.
Em atendimento ao disposto no artigo 165, parágrafo 2º da Constituição Federal e no artigo 4º, parágrafos 1º, 2º e 3º da Lei Complementar Federal n.º 101, de 2000, integram a presente Lei os seguintes anexos:
I –
Anexo de Prioridades e Metas da Administração Pública Municipal;
II –
Anexo de Metas Fiscais; e
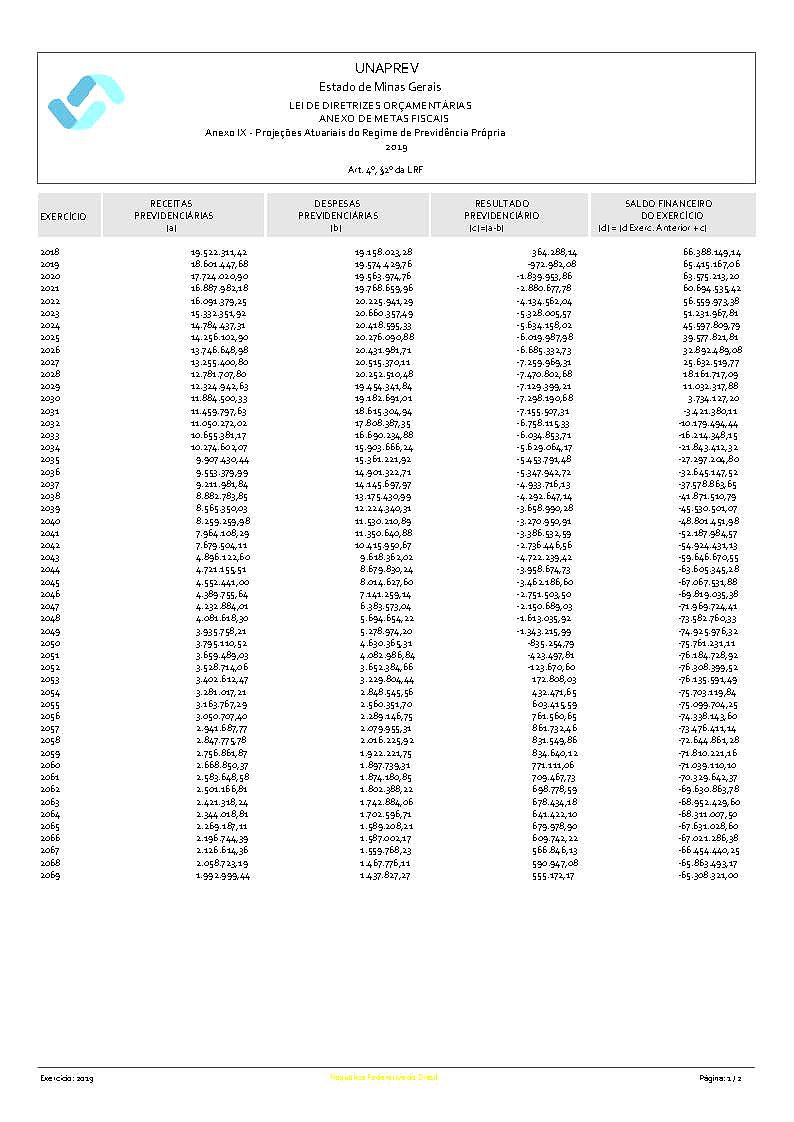
III –
Anexo de Riscos Fiscais.
Art. 55.
Esta Lei entra em vigor na data de sua publicação.




































































